火是生态系统的重要影响因子,可以通过影响陆地生物多样性、释放大气气溶胶和温室气体等,加速碳排放和全球变暖,也可以改变区域植被组成和结构,参与植被演化,从而直接影响全球陆地生态系统的格局和演变过程。炭屑,作为火的直接产物,具有耐高温、易保存、产量大、空间分布广泛等特点,也是目前用来探索地质历史时期火的演化历史,揭示野火发生频率、强度的常用指标之一。目前关于炭屑形态的研究发现炭屑长宽比是一个区分不同燃料类型的有效指标,然而这方面的研究主要基于马弗炉燃烧模拟实验,无法完全复原自然野火的燃烧条件,因而缺少自然野火状态下不同植被燃烧形成的炭屑形态的系统研究资料,此外,不同植被类型的炭屑形态存在差异,其长度、宽度和面积等粒径指标具有怎样的分布特征,是否可以作为区分不同燃料类型的指标也尚存争议。
近日,《古植物学与孢粉学评论》发表了题为“Charcoal morphology of different vegetation types after wildfire”的研究论文。研究通过采集来自云南、贵州、四川、内蒙古等地的自然野火形成的炭屑样品(图1),利用孢粉流程法提取微炭屑并进行拍照观察统计,利用Image J软件测量炭屑长度、宽度、面积等指标,揭示了自然野火下不同植被类型炭屑的形态特征和粒径大小,此外还利用决策树分类模型对不同类型的炭屑进行区分,为分析自然野火下的燃料来源提供重要的参考依据。

图1.炭屑样品采样地点
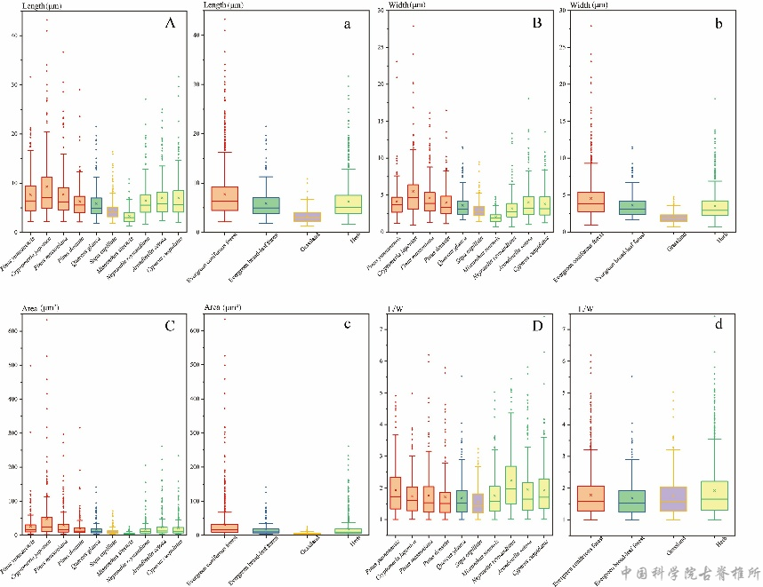
研究结果显示,不同植被类型炭屑的形态和粒径差异明显(图2和图3),常绿针叶林、喜暖湿草丛、常绿阔叶林、草原炭屑粒径依次减小。常绿针叶树炭屑形态特征为:多边形,呈现片状,边缘清晰平直,表面光滑、平坦,炭屑的平均长度、宽度、面积和长宽比则是7.75 μm、4.54 μm、31.23 μm2 和1.78;常绿阔叶林炭屑形态与针叶林相似,但是炭屑粒径之间存在差异,炭屑的平均长度、宽度、面积以及长宽比分别是5.84 μm、3.59 μm、16.70 μm2 和1.68。草原植被炭屑形态则是长条形,粒径较小,边缘为锯齿状、参差不齐,喜暖湿草本植物炭屑与草原植被炭屑形态相似,但喜暖湿草本植物的炭屑粒径较大,部分较大的长条形炭屑为束状集合体,草原炭屑的平均长度、宽度、面积和长宽比分别是3.32 μm、1.98 μm、4.53 μm2 和1.75,而喜暖湿草本植物炭屑的平均长度、宽度、面积和长宽比分别是6.26 μm、3.49 μm、18.24 μm2 和1.91。

图2.炭屑形态图(A-J分别代表云南松、柳杉、马尾松、高山松、青冈、细叶芒、类芦、刺芒野古草、长尖莎草、针茅在电子显微镜下的炭屑形态;a-j分别代表光学显微镜下的炭屑形态)

图3.炭屑粒径箱线图(A-D分别代表不同优势树种的长度、宽度、面积以及长宽比的箱线图;a-d分别代表不同植被类型的长度、宽度、面积以及长宽比的箱线图)
为了进一步探索不同植被类型炭屑形态与粒径差异,基于炭屑不同变量之间的相关性以及统计炭屑样本量的关系,选择决策树(Decision Tree)对不同类型的炭屑进行区分(图4)。利用已统计的不同类型炭屑的长度、宽度、面积以及长宽比的数据属性以及类别,将70%的样本量划分为训练集,30%的样本量作为测试集去创建模型,测试发现该模型能够对常绿针叶林、常绿阔叶林以及草原三个植被型进行有效区分。最后,通过交叉验证等方式评估该模型,其分类准确率可达72.44%。

图4.基于炭屑形态参数的决策树模型
本研究通过对自然野火下形成的植被炭屑形态进行系统性地研究,全面综合地了解不同植被炭屑形态的区别,为利用炭屑形态区别不同燃料类型提供依据,从而揭示自然野火与植被环境之间的相互关系。
论文第一作者为中国科学院古脊椎动物与古人类研究所博士研究生张淑荣,通讯作者为中国科学院古脊椎动物与古人类研究所沈慧副研究员,参与该项研究的单位还包括玉溪师范学院。本研究得到中国科学院青年创新促进会基金(2022071),国家重点研发计划(2022YFF0801502),兴滇英才青年人才专项(XDYC-QNRC-2022-0630)和云南省基础研究计划面上项目(202301AT070048)等项目的支持。
论文链接:https://doi.org/10.1016/j.revpalbo.2026.105576